Available in a variety of forms, these variable capacitors are excellent for circuit tuning and recalibration.
This article is part of The engineer’s complete guide to capacitors. If you’re unsure of what type of capacitor is best for your circuit, read How to choose the right capacitor for any application.
What is a trimmer capacitor?
A trimmer capacitor is a type of variable capacitor whose capacitance can be adjusted by manually changing the positioning of its conductive plates. A trimmer capacitor differs from a “regular” variable capacitor in that it’s smaller and has excellent adjustment resolution. In many applications, its value is set initially during production and is meant to be left there until a recalibration adjustment is needed. Often, it is meant to fine-tune the capacitance set by the larger capacitors in the circuit. These capacitors are used to trim the performance of both active and passive circuits.
A fixed capacitor is essentially two fixed metal plates at a fixed distance. In a trimmer capacitor, the distance between these plates can be adjusted or the amount of exposed area can be shifted to change the amount of capacitance.
Trimmer capacitors come in all shapes and sizes. Trimmers can be used for impedance matching, crystal trimming, and interstage coupling. The image that follows is a PCB vertically mounted glass trimmer. The dielectric is a tube which has been precision drawn in a vacuum so that its inner diameter is held within ±0.0002 inches. In the case of annular band glass, a solid tube of a specially selected formulation of glass is metallized on the outside.
What are trimmer capacitors used for?
Trimmer capacitors typically have two main applications: initial alignment and later restoration recalibration. When all fixed components are placed in a circuit, the resulting capacitance is often not precisely what was expected. Trimmer capacitors can be used to tweak the final capacitance value to the desired nominal value. As capacitors age, their capacitance can change. If this happens in a circuit, the trimmer capacitor can be adjusted to restore the desired capacitance.
When capacitance tolerance is an issue, using a fixed-value capacitor with a tight tolerance will usually equate to a premium price. Using a trimmer capacitor may be more cost effective. Also, while fixed-value capacitors were once clearly smaller than trimmer capacitors, the development of chip-style trimmer capacitors has closed that gap.
Trimmer capacitors are especially useful within circuits that need to be tuned to a precise frequency. Devices such as smartphones no longer use trimmer capacitors, since mass production would be hampered by the need to tune each phone manually. Instead, these devices use a frequency-control system called a phase-locked loop. Varactor diodes (voltage variable capacitors, or VVCs) are controlled by digital-to-analog converters (DACs), which in turn are driven by a microcontroller.
Trimmer capacitor dielectrics
Glass, quartz, and PTFE dielectrics
Like a fixed capacitor, some form of dielectric such as air, ceramic, glass, polytetrafluoroethylene (PTFE, a plastic with the trade name Teflon) or sapphire is used as electrical insulation between the plates or other metalized surfaces. Trimmer capacitors using glass, quartz, and PTFE dielectric materials provide sufficient insulation for higher voltage ratings and can achieve higher capacitance values.
Air, sapphire, and PTFE dielectrics
For higher frequency applications where a high quality factor (Q) and high series resonant frequency (SRF) are essential, multi-turn trimmer capacitors based on air, sapphire, or PTFE dielectric materials provide the lowest loss and best overall performance. The amount of insulation provided by the dielectric material contributes to the voltage rating of a trimmer capacitor, usually given as its dielectric withstand voltage (DWV). For example, PTFE exhibits a higher dielectric constant than air (which is equal to unity) and can support trimmer capacitors with a much higher DWV rating, on the order of 15,000 V or more.
Ceramic dielectrics
Trimmer capacitors based on ceramic dielectrics are small, inexpensive and readily available on tape and reel for use with automated manufacturing machines. These capacitors can be specified with capacitance ranges to about 40 pF and are well suited for applications requiring small size and low cost. However, ceramic trimmer capacitors tend to suffer from only average temperature stability, which degrades with increasing capacitance. These components are available with a Q of about 1,500 at 1 MHz, with a nominal temperature coefficient of 0 to 750 ppm/°C. Capacitance drift tends to be about ±1% to ±5% while the maximum DWV is 220 VDC or less.
Glass, quartz, and sapphire dielectrics
As a dielectric, sapphire is incredibly durable. The value of its dielectric constant does not change with frequency, it is mechanically strong and moisture resistant, and it features loss characteristics that are consistently low even above 10 GHz. The excellent dielectric and insulation properties of sapphire produce a high breakdown voltage rating.
If accuracy and precision are vital, then a glass and quartz or sapphire dielectric provides the best tuning sensitivity and stability. However, while a ceramic trimmer capacitor is not as stable or precise, it is cheaper and may work adequately for a given circuit.
Deciphering a trimmer capacitor datasheet
Trimmer capacitors (like potentiometers) are available in multiturn and single-turn configurations. A single turn permits a trimmer to be adjusted very quickly to reach all possible capacitance values. A multiturn trimmer provides greater resolution and permits finer and more accurate adjustments. Stability is a measure of how well a trimmer holds its set value when subjected to environmental factors like temperature and humidity. The quality factor (Q) is Xc/R at a given frequency. A large Q means the trimmer has low losses and promotes narrow-bandwidth applications.
The measurement of the tuning response of a trimmer, and how fine an adjustment can be made, is called the tuning adjustment sensitivity. Multiturn trimmers will demonstrate an excellent tuning adjustment sensitivity. Ultra-high frequency (UHF) operation characterizes a trimmer when it performs in the gigahertz frequency range. In general, trimmer capacitors have a reduced Q at higher frequencies. Some dielectrics are more resistant to this effect than others. Radio frequency (RF) handling current is a parameter designed to characterize the robustness of a trimmer. RF current can lead to a temperature increase in a trimmer. Typically, a temperature increase produces a reduction in Q.
Physical size provides an indication of the space required by a trimmer capacitor. Generally, a small size means a given trimmer capacitor can fit on a PCB. The temperature range indicates the operational condition under which a trimmer capacitor can perform. Outside of this temperature range a trimmer may not perform adequately and could fail prematurely. Shock and vibration can alter the capacitance of a trimmer. Specifically, its stability may not hold. Trimmer capacitors can also be affected by humidity and moisture. If moisture penetrates its casing, the dielectric resistance can be altered. Price is another relative, but also important, consideration.
The table that follows shows the various factors that should be considered when selecting a trimmer capacitor. The table provides relative comparisons.

Application example: Oscilloscope probe compensation
Oscilloscope probe compensation uses a trimmer capacitor to nullify the effects of the oscilloscope input capacitance. Without this compensation, the oscilloscope input circuit would behave like a low pass filter, restricting the bandwidth greatly. Properly compensating the probes is necessary to ensure the best possible accuracy and linearity in measurement results. This should be a routine adjustment prior to using the oscilloscope. Probes are seldom matched to their oscilloscope. This is certainly true when pooled equipment is supplied or in most laboratories.
Probe compensation only works when the probes provide attenuation. For instance, an X10 probe produces a 10:1 reduction and an X100 probe provides a 100:1 reduction. In ancient times the probes were referred to as “X10” and “X100” because the scales (for example, 1V/DIV or 10V/DIV) were multiplied (in one’s head) by those values to get the true readings. Modern oscilloscopes adjust the scales automatically.
The equivalent circuit is as follows:
Admittances in parallel add:

The reciprocal of admittance produces impedance:

The voltage transfer function is provided by voltage division:

When the trimmer capacitor (C2) is adjusted properly, the frequency response is flat. The attenuation will be a constant 1/10.

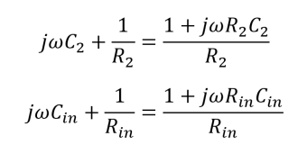
With a tiny bit of algebra, we can arrive at the design constraints:

The trimmer could have a range from 0.5 to 5 pF.